Publicidad
 

LA LISTA COMPLETA

|
03/01/2024

Escándalo: hay más de 60 empleados públicos de Río Negro que estaban anotados en el programa Potenciar Trabajo

Desde el ministerio de Capital Humano que preside Sandra Pettovello, se dieron de baja 4588 y publicaron los nombres de cada uno de los estatales que lo percibían.
Escándalo: hay más de 60 empleados públicos de Río Negro que estaban anotados en el programa Potenciar Trabajo
Escándalo: hay más de 60 empleados públicos de Río Negro que estaban anotados en el programa Potenciar Trabajo

Con la llegada de Javier Milei a la presidencia de la Nación, una de las promesas fue revisar uno por uno los planes que se venían dando. Había dudas de a quién llegaba esa ayuda, como, por ejemplo, la de Potenciar Trabajo. En los últimos días, desde el ministerio de Capital Humano que preside Sandra Pettovello, se dieron de baja 4588.

¿El motivo? Todos ellos eran empleados públicos. La investigación estuvo a cargo del fiscal Guillermo Marijuan, que llegó a ese número luego de cruzar datos con 14 provincias.

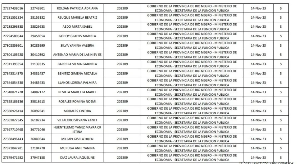
Para sorpresa…o no, en la lista aparecen 63 trabajadores del Estado Provincial de Río Negro, que fueron anotados durante la administración de Arabela Carreras. Todos ellos están bajo el área del Ministerio de Economía y la Secretaría de la Función Pública.

Fuentes gubernamentales aclararon a este medio que la provincia de Río Negro es una de las cinco del país que informa mensualmente la cantidad de empleados públicos a través del área de la Función Pública, y por ello figura ese organismo. 

¿Qué es el Potenciar Trabajo? El programa está destinado a personas mayores de 18 y menores de 65 años que desempeñen en alguna actividad de la economía popular y necesiten fortalecer sus ingresos. El Programa incluye dos tipos de prestaciones: subsidios o créditos y un Salario Social Complementario equivalente a la mitad de un Salario mínimo, vital y móvil.

¿Que opinión tenés sobre esta nota?